Επανέρχεται η ανησυχία στους κόλπους των επιστημόνων καθώς τα κρούσματα κορωνοϊού αυξάνονται συνεχώς και μάλιστα αρκετά εξ αυτών είναι συμπτωματικά.
Ανησυχία επικρατεί και για τον αριθμό των νεκρών, που παραμένει ιδιαίτερα υψηλός καθώς και το Σάββατο (26/3/2022) ο ΕΟΔΥ ανακοίνωσε πάνω από 50 θανάτους.
Σημαντική είναι η δήλωση και της Αθηνάς Λινού για το πιστοποιητικό εμβολιασμού, αναγνωρίζοντας πως δεν έχει καμία λειτουργικότητα αφού νοσούν και οι εμβολιασμένοι.
Πάντως η αναζωπύρωση των κρουσμάτων δεν φέρνει στο τραπέζι την επαναφορά των περιοριστικών μέτρων τουλάχιστον για άνοιξη και καλοκαίρι, καθώς σύμφωνα με τους ειδικούς έχουμε να αντιμετωπίσουμε μία νέα μορφή του ιού.
Επιμένουν πολύ τα κρούσματα – Δεν έχει νόημα το πιστοποιητικό εμβολιασμού
«Aυτό που με ανησυχεί ως προς τον κορωνοϊό είναι πως επιμένουν πολύ τα κρούσματα και πολλά από αυτά πλέον είναι συμπτωματικά, ενώ δεν ίσχυε αυτό στην αρχή», τόνισε η καθηγήτρια επιδημιολογίας, Αθηνά Λινού.
Η κα Λινού μιλώντας στο Μega αναφέρθηκε στην κατάργηση του πιστοποιητικού εμβολιασμού, σημειώνοντας ότι αυτό γίνεται επειδή έχει καταργηθεί η λειτουργικότητα του, αφού νοσούν και οι εμβολιασμένοι.
Όπως είπε, πρόκειται για ένα μέτρο που δεν αποδίδει λόγω της φύσης της νόσου.
Αναφερόμενη στην κατάργηση του προστίμου των 100 ευρώ στους ανεμβολίαστους άνω των 60 ετών από τα μέσα Απριλίου, υπογράμμισε ότι αποτελεί πολιτική απόφαση γιατί φάνηκε πως δεν πείστηκε με το μέτρο αυτό η συγκεκριμένη ηλικιακή ομάδα και πρέπει να βρεθεί ένας άλλος τρόπος πειθούς.
Ωστόσο, ο εμβολιασμός παραμένει σημαντικός, ανέφερε η κα Λινού.
Σε ό,τι αφορά την τέταρτη δόση εμβολίου, η ίδια ανέφερε ότι πιθανότατα θα βοηθήσει περισσότερο, αν και επειδή ακόμη δεν γνωρίζουμε πολλά στοιχεία για τη νέα μορφή του ιού «καλό θα ήταν για την ώρα να φοράμε μάσκα παντού και να ενθαρρύνουμε τον κόσμο να βρίσκεται σε εξωτερικούς χώρους».
Κατά την ίδια, εξακολουθεί η τρίτη δόση του εμβολίου να μας βοηθά να μην νοσηλευτούμε και στην περίπτωση που δούμε πως η δυνατότητα προστασίας αυτή μειώνεται, τότε θα προχωρήσουμε και στην τέταρτη δόση.
Εξαδάκτυλος: Τα περιοριστικά μέτρα δεν έχουν κανένα ρόλο να παίξουν
Ο κίνδυνος για τη δημόσια υγεία μετά από δύο χρόνια πανδημίας είναι διαφορετικός και η χαλάρωση μέτρων γίνεται διότι έχουμε μία άλλη μορφή του ιού, ανέφερε ο πρόεδρος του Πανελληνίου Ιατρικού Συλλόγου, Αθ. Εξαδάκτυλος.
Ο κ. Εξαδάκτυλος μιλώντας στην ΕΡΤ τόνισε ότι «τα περιοριστικά μέτρα δεν έχουν κανένα ρόλο να παίξουν.
Δεν υπάρχει κανένας λόγος να κάνουμε σπατάλη πόρων» και εξήγησε πως «χαλαρώνουμε γιατί έχουμε μία άλλη μορφή του ιού, αν και μεταδοτικότερη από τις προηγούμενες, που προκαλεί ηπιότερη νόσο».
«Χαλαρώνουμε γιατί είμαστε κατά 80% εμβολιασμένοι οι ενήλικες και ένα πολύ μεγάλο ποσοστό και με την τρίτη δόση.
Χαλαρώνουμε γιατί διαθέτουμε και δύο φάρμακα αυτή τη χρονική στιγμή», πρόσθεσε.
ΕΟΔΥ: 16.558 νέα κρούσματα και 56 θάνατοι στις 26/3
Ο ΕΟΔΥ ανακοίνωσε το Σάββατο (26/3/2022) 16.558 νέα εργαστηριακά επιβεβαιωμένα κρούσματα Covid που καταγράφηκαν τις τελευταίες 24 ώρες, εκ των οποίων 21 εντοπίστηκαν κατόπιν ελέγχων στις πύλες εισόδου της χώρας.
Ο συνολικός αριθμός των κρουσμάτων ανέρχεται σε 2.916.892 (ημερήσια μεταβολή +0.6%), εκ των οποίων 49.2% άνδρες.
Με βάση τα επιβεβαιωμένα κρούσματα των τελευταίων 7 ημερών, 171 θεωρούνται σχετιζόμενα με ταξίδι από το εξωτερικό και 1.363 είναι σχετιζόμενα με ήδη γνωστό κρούσμα.
Οι νέοι θάνατοι ασθενών με Covid είναι 56, ενώ από την έναρξη της επιδημίας έχουν καταγραφεί συνολικά 27.216 νεκροί.
Το 95.3% είχε υποκείμενο νόσημα ή/και ηλικία 70 ετών και άνω.
Στους 341 οι διασωληνωμένοι
Ο αριθμός των ασθενών που νοσηλεύονται διασωληνωμένοι είναι 341 (64.2% άνδρες).
Η διάμεση ηλικία τους είναι70 έτη.
To 90.3% έχει υποκείμενο νόσημα ή/και ηλικία 70 ετών και άνω.
Μεταξύ των ασθενών που νοσηλεύονται
διασωληνωμένοι, 214 (62.76%) είναι ανεμβολίαστοι ή μερικώς εμβολιασμένοι και 127 (37.24%) είναι πλήρως εμβολιασμένοι.
Από την αρχή της πανδημίας έχουν εξέλθει από τις ΜΕΘ 4.431 ασθενείς.
Οι εισαγωγές νέων ασθενών Covid-19 στα νοσοκομεία της επικράτειας είναι 434 (ημερήσια μεταβολή +4.08%).
Ο μέσος όρος εισαγωγών του επταημέρου είναι 383 ασθενείς.
Η διάμεση ηλικία των κρουσμάτων είναι 35 έτη (εύρος 0.2 έως 112 έτη), ενώ η διάμεση ηλικία των θανόντων είναι 79 έτη (εύρος 0.2 έως 106 έτη).
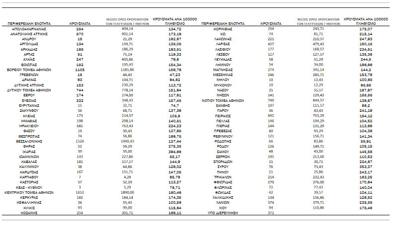
Κορωνοϊός: 6.127 κρούσματα στην Αττική, 1.526 στη Θεσσαλονίκη
Από τα 16.558 νέα κρούσματα που ανακοίνωσε ο ΕΟΔΥ, οι 6.127 μολύνσεις εντοπίζονται στο Λεκανοπέδιο.
Στη Θεσσαλονίκη εντοπίστηκαν τα 1.526 κρούσματα ενώ τα 685 βρέθηκαν στο Ηράκλειο
Αναλυτικότερα τα κρούσματα στις περιφερειακές ενότητες Αττικής:
Ανατολική Αττική: 870 κρούσματα
Βόρειος Τομέας Αθηνών: 1.105 κρούσματα
Δυτική Αττική: 183 κρούσματα
Δυτικός Τομέας Αθηνών: 744 κρούσματα
Κεντρικός Τομέας Αθηνών: 1.652 κρούσματα
Νήσων: 141 κρούσματα
Νότιος Τομέας Αθηνών: 740 κρούσματα
Πειραιώς: 692 κρούσματα
Αναλυτικά τα κρούσματα σε ολόκληρη τη χώρα:
Σχόλια αναγνωστών